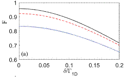
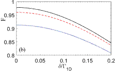
众所周知,量子纠缠在量子信息科学中扮演着重要的角色,例如量子密钥分发、量子安全直接通信、量子隐形传态、分布式量子计算等。近期,Beat365唯一官方网站教师宋国柱博士在Physical Review A上发表论文“Quantum entanglement creation based on quantum scattering in one-dimensional waveguides”,基于一维波导中光子的散射性质,该文章在固态量子系统中构建了多粒子纠缠态方案,包括Greenberger-Horne-Zeilinger (GHZ)和W两个重要纠缠态的构建方案。我们的系统中,量子纠缠态比特被编码在量子发射器的兼并基态上。值得指出的是,在我们的方案中,由系统缺陷引起的量子发射器和光子间的错误相互作用是可以被转化为光子极化状态的探测,也即是可以被预报的。数值模拟计算表明,在现有的实验室技术条件下,我们的两个纠缠态方案在量子点-慢光光子晶体波导系统中成功率和保真度都很高。


该工作近期被美国物理学会学术期刊Physical Review A接收发表[Phys. Rev. A 106, 032416 (2022)]。Beat365唯一官方网站教师宋国柱博士为论文第一作者兼通讯作者,Beat365唯一官方网站为第一单位。此外,该工作主要是与北京科技大学魏海瑞教授合作完成。该研究工作得到了国家自然科学基金青年科学基金项目“纳米光子波导中原子系综的散射性质”(No.12004281)和教育部中国高校产学研创新基金(“光学纳米材料中的量子输运及其应用”No.2021BCA02005)的支持。